Laetitia Drago
  • Home
  • Experience
  • Publications
  • Coding
  • Illustration
  • FR
  • EN
Categories
All (3)
Academic (2)
Data Paper (1)
Machine Learning (1)
Paper with Code (1)
R (3)

Welcome to My Coding Corner!

Here you’ll find a collection of projects covering various coding topics. Feel free to explore the posts below, use the category filters to find specific topics, or sort by date to see my latest work. Happy coding!

Latest Posts

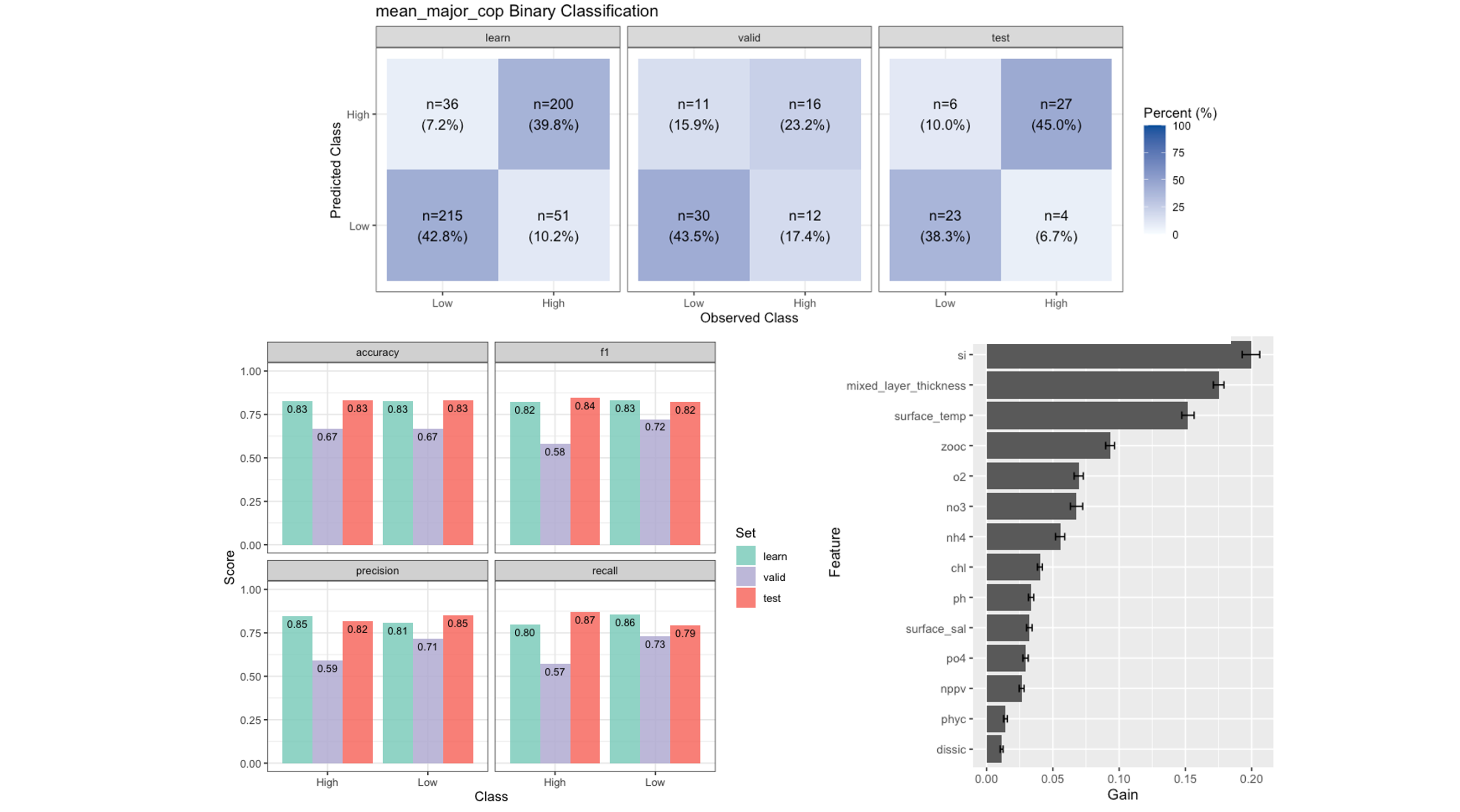
Predicting Plankton Diversity with Machine Learning
R
Machine Learning

Using BRT models to explore relationships between plankton communities and oceanographic variables

Dec 15, 2025

Long-term Plankton and Environmental Monitoring Dataset from the Iroise Marine Natural Park
R
Academic
Data Paper

A 14-year imaging and monitoring dataset revealing plankton community dynamics in France’s first marine protected area

Nov 27, 2025

Global Zooplankton Biomass Distribution
R
Academic
Paper with Code

Analyzing and visualizing global zooplankton biomass patterns using R

Aug 9, 2022
No matching items
 

Copyright © 2025 Laetitia Drago. All rights reserved.